Roue avant pour vélo de course avec dynamo SON dans le moyeu
Cette roue dynamo pour vélo s’installe sur un vélo de course avec des roues de 700. Elle est composée d’une jante Remerx Taurus 5014 et d’une dynamo SONdelux à serrage rapide. La roue est livrée complète et rayonnée. Les 36 rayons qui équipent cette roue sont des CN Spoke Aéro 424. La jante est en aluminium 6060 de technologie AHD de la marque Remerx. La largeur intérieure de la jante est de 14 mm.
La roue complète montée pèse 1250 g. Le poids de la dynamo est de 390 g. La dynamo est garantie 5 ans par le constructeur. La roue est livrée avec la dynamo montée. Elle est prévue pour être équipée de chambre à air ayant une valve presta. Pour changer votre paire de roues, la roue arrière Taurus 5014 Remerx est également disponible. Elle est équipée d’un corps de cassette 8/10 vitesses.
Roue vélo dynamo moyeu 6 V pour éclairages vélo LEDs
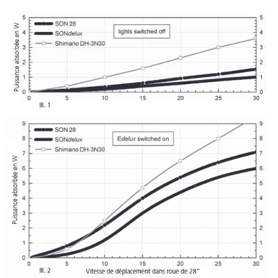
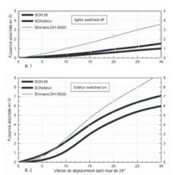
La dynamo qui équipe cette roue est de la marque SON avec le modèle SONdelux. Elle produit un courant dont la tension est de 6 V et la puissance de 3 W. Aux normes allemandes pour les éclairages de vélo, cette dynamo alimente un feu avant de vélo exclusivement à LEDs, comme par exemple le feu Lumotec IQ Cyo de la marque Busch and Muller. Cette dynamo est conçue pour fournir 65% de sa puissance maximale dès 15 km/h.
Cette dynamo possède les fiches de branchement plates de 4.8 mm de large. Des cosses de connection sont fournies avec la roue et il faut un cable électrique 2 fils proposé en option pour relier la dynamo à votre feu avant. Pour alimenter le feu arrière, un autre câble électrique relie le feu arrière au feu avant.
Afin de protéger vos accessoires d’éventuelles surtensions crées par la dynamo dans certaines conditions, un adaptateur de protection contre la surtension est disponible en option.
Branché sur votre dynamo moyeu, le chargeur E-werk permet de recharger votre téléphone et de nombreux autres appareils électroniques. Il est disponible en produit complémentaire.
Nous proposons également des moyeux dynamos pour monter une roue avant vélo à dynamo et frein à disque : le moyeu dynamo PL7 Shutter precision et le moyeu dynamo PD8 Shutter Precision.



















Avis
Il n’y a pas encore d’avis.